一、入学须知
(一)报到时须提交的材料
1.录取通知书;
2.第二代身份证;
3.结核病筛查证明(乡镇卫生院或者县级人民医院,因领取筛查证明需要3—4天,至少于8月20日完成筛查),没有提供筛查证明的学生暂缓入学;
4.共青团员新生,在原籍学校办理好团组织关系转出手续,个人团员档案,开学后交由校团委统一办理接收手续;
5.大一寸蓝底照片1张(背面备注姓名)。
(二)报到时涉及的费用
1.学费:全免。
2.住宿费:200元/学期。
3.书费:600元/年,按新华书店订书目录多退少补;
4.被褥及校服费(统一到学校购买):被褥一套,260元/生;校服两套176元。
5.保险费(学平险):120元/生。
费用合计:1356元。
(三)报到时间、地点
1.报到时间:2025年8月24日8:00—17:00。
2.报到地点:梁河县职业高级中学(德宏州梁河县遮岛镇弄么社区6-1号)
3.咨询电话:钏老师13170699288
(四)温馨提示
1.自带生活用品和学习文具
2.家长及学生往返学校途中注意交通安全,防范电信诈骗,保管好个人财物。
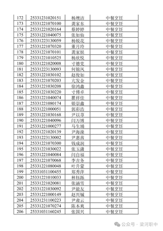
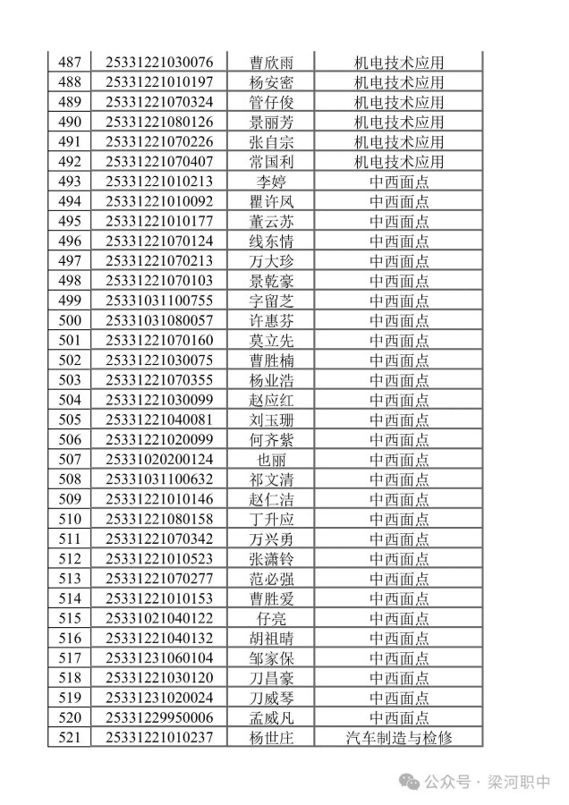
二、录取名单
梁河县职业高级中学首批录取543人,现将录取名单公告如下:
















滇公网安备 53310002000506号

