梁河县水利局

梁河警方提醒:警惕!这十大类电信网络诈骗骗局!

浏览量:4613    作者: 日期:2021/12/13

随着互联网经济和电信产业的迅猛发展,以电信网络诈骗为代表的新型犯罪持续高发,已成为上升最快、群众反映最为强烈的突出犯罪之一。

梁河十大类高发电信网络诈骗类型请大家务必警惕!

1

1

深度解析

随着银行贷款不断规范,向银行贷款难度逐年增大,许多人会更多的转向非正常渠道融资。骗子搭建虚假网络贷款APP,附带无抵押”“低利率”“下款快等诱导性话语,吸引受害人关注。受害人提交贷款申请后,骗子会通过修改APP后台数据,显示已经下款,但受害人不能提现,需联系客服。客服以交纳保证金、手续费或者验资为由诱骗受害人在未收到贷款前先行转账汇款,从而实施诈骗。骗术虽然不高明,但现实中却屡屡得逞,尤其针对着急贷款用钱的,本身不符合贷款要求,又非要贷款的,嫌正规贷款手续麻烦的这三类人群。主要就是抓住了贷款人急需用钱的心理,以及对金融服务知识不了解的弱点。

2

2

深度解析

骗子通过不同渠道推广兼职广告,以刷新交易量、信誉度等为由,招募人员进行网络兼职刷单,承诺在交易后返还购物费用并有额外提成,后通过话术诱骗受害人刷单。同时拉受害人入群,在群里营造每个人都拿到大额返利的假象,实则除了受害人,其他人都是骗子操控的。刷第一单时骗子会小额返款让受害人尝到甜头,当受害人刷单交易额变大后,骗子就会以各种理由拒不返款,而且会想方设法让你继续转账。如果你急于要回前面的本金,那么很不幸,你已经落入了骗子的圈套。你越想要回前面的本金,骗子就会让你掏更多的钱,直到你醒过来的时候,你的钱已经被骗的差不多了。此时骗子已将你拉黑。

3

3

深度解析

受害人在网上购物后,骗子获取受害人购物信息,冒充商家客服给受害人打电话或发短信,以网购商品降价返利退款、快递丢失赔偿等名义,通过微信(QQ)发送虚假激活网址,套取支付宝、银行卡、验证码等信息骗取事主扫码、转账汇款,甚至诱导受害人贷款再转给骗子!直到被害人意识到被骗后,犯罪分子将被害人联系方式拉黑。

4

4

深度解析

冒充领导、老板、熟人诈骗的种类很多,有的冒充你的领导正要送礼或家人急需用钱要求你转账;有的冒充你长时间不联系的朋友,称自己违法被公安机关拘留,要缴保证金向你借钱;有的冒充你家人、朋友称出车祸住院了,正在抢救让你转钱;有的直接就冒充你的家人要求你转钱。

5

5

深度解析

现在的确有很多的投资理财项目,收益都会比银行的存款利息稍高一点点,但虚假的投资理财平台也特别多。骗子会直接拉你进各种投资群聊、用直播教程对你洗脑、让你看到群里其他人每天都在赚钱、让你由心动到行动,然后骗你下载各种虚假软件进行所谓的网上投资理财。先期让你微薄获利,骗取信任,待你大额资金投入后,卷土而逃。

6

6

深度解

杀猪盘,一种起源于东南亚的新型诈骗方式。在这个骗局中,诈骗分子把受害人叫,把聊天设局的过程叫养猪,骗取钱财时叫杀猪。这是一种网络交友类诈骗,首先,一定是广撒网,骗子们都会在社交软件上群发信息,成千上万的信息发出去,只要有两三个受害对象回复了信息,那就相当稳妥了。接下来,骗子会对自己的社交动态进行全方位无死角高端包装,编造高富帅或白富美等虚假身份。然后,就要开始培养感情了,陪着受害对象聊天,分享自己的生活动态,和受害对象描述自己的背景故事....骗取对方信任,建立交往关系,然后选择时机提出带你在网上投资、赌博、借钱周转,家庭遭遇变故等各类理由,骗取钱财后便销声匿迹。

7

7

深度解析

网络赌博往往由所谓的庄家设局,参赌是在网络赌博团伙提供的网站或者APP上进行赌博行为的。境外赌博集团通过对正规网站植入黑链、群发短信、微信群、QQ群引流等手段宣传推广,以赔率高,提现快,赢面大等噱头引诱参赌人员注册、充值赌博,赌博资金通常通过网银或第三方支付平台进行流转。既然是由程序编写的平台,那么在系统代码中庄家操盘、后台造假、人为修改概率...花式套路应有尽有,一切数据尽在骗子的掌握中。这就注定参赌者注定毫无胜算,因此网络赌博可谓逢赌必输。不少人开始总觉得赢钱如此简单,以为是鸿运当头,想趁着运气好手气壮多赢点,开始大量下注。但是赌博这件事,一旦开了头,无穷的欲望便会让人越陷越深,等开始的甜头过去后才发现自己早已血本无归!

8

8

深度解析

有的诈骗分子利用老百姓对公安局、检察院、法院这些部门敬畏的心理,冒充公检法等部门的工作人员,制作所谓逮捕证通缉令传票进一步迷惑和恐吓受害人。骗受害人说涉嫌洗钱、贩毒、拐卖儿童、或者法院有传票、信用卡透支、医保卡被冒用等,然后打着帮助受害人洗脱罪名的幌子,迫使受害人一步步掉进陷阱里,将资金转入安全账户配合调查或需要在网页填写个人信息以证清白,并要求受害人不得告诉任何人,包括配偶、子女和警察,从受害人电话被接通直到转账汇款的整个过程,电话始终处于通话的状态。

9

9

深度解析

骗子在游戏、QQ群、微信群、抖音、快手视频APP等其他社交平台,以游戏装备交易、游戏账号交易、游戏币交易等名义,采取通过高价收购等方式诱骗受害者进行交易,一旦受害者上当,就会让受害者下载他们精心设计的用于诈骗的虚假游戏交易平台,交易过程中再以安全检测、信用不足、保证金、解冻等借口骗取钱财。

10

10

深度解析

不法分子利用人民群众相信军警的心理,先冒充军、警后勤部门的领导,与一些具有社会影响的人套关系,透露出部队急需采购军用帐篷、餐车等物资,希望他们可以帮忙介绍熟人。使这些人在不知情的情况下,将此机会告诉身边的朋友、熟人,使自己也成了不法分子的帮凶,欺骗受害人代为向第三方采购物品。实际上,所谓的第三方也是诈骗团伙成员。

11

梁河警方提醒广大群众,要提高警惕,加强自我防范,防止上当受骗。一旦遭遇网络诈骗,请保留好证据,抓紧时间报警!报警!报警!

防范电信诈骗

公安一直在出力

这些安全提醒

说得再多也不嫌多

记得提醒你的家人朋友

帮助他人远离诈骗!

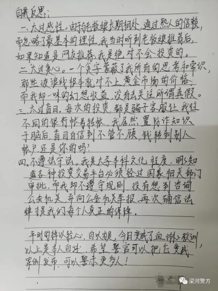
被骗10万元的我,想和你聊聊,来自一名受害人的自我反思。

1

(图片源于网络侵权删除)



图片

来源:葫芦丝之乡梁河
文章来源: